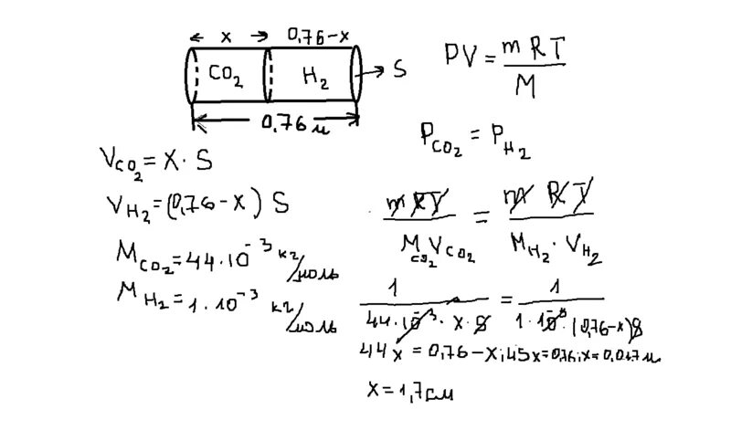
В цилиндр длиной 2 м