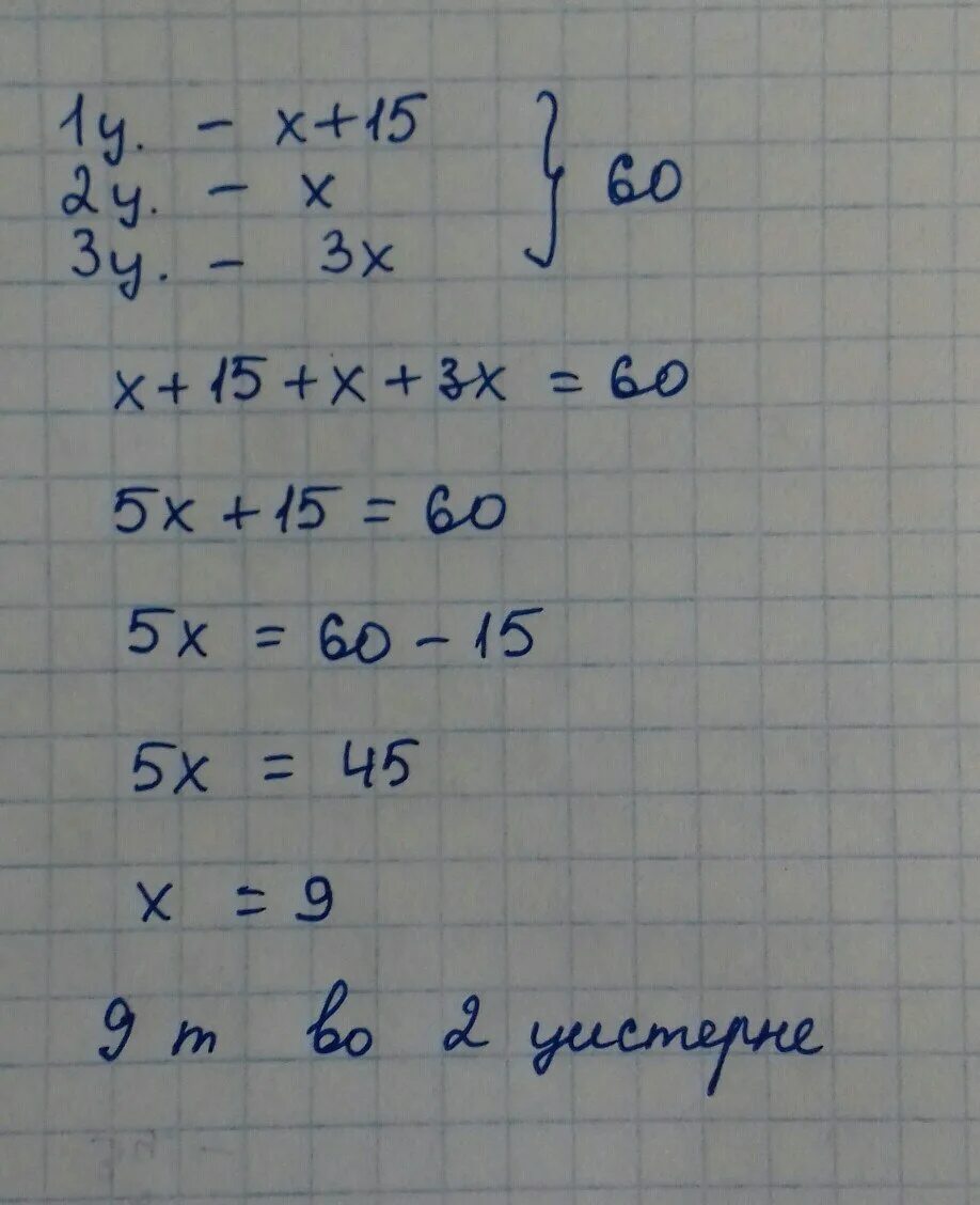
В первом баке бензина