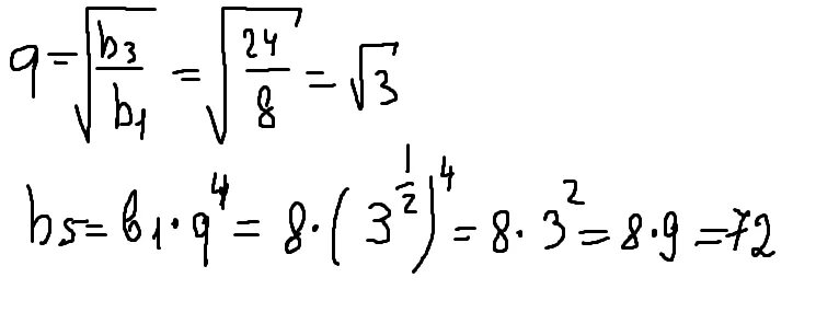
В геометрической прогрессии bn найдите b5