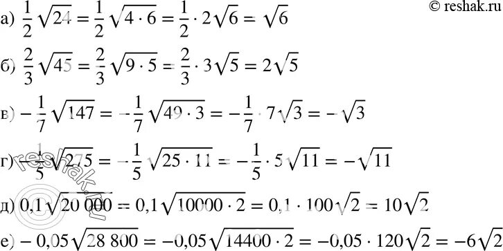
Упростите выражение корень 45