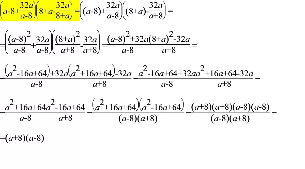
Упростите выражение 9 класс алгебра