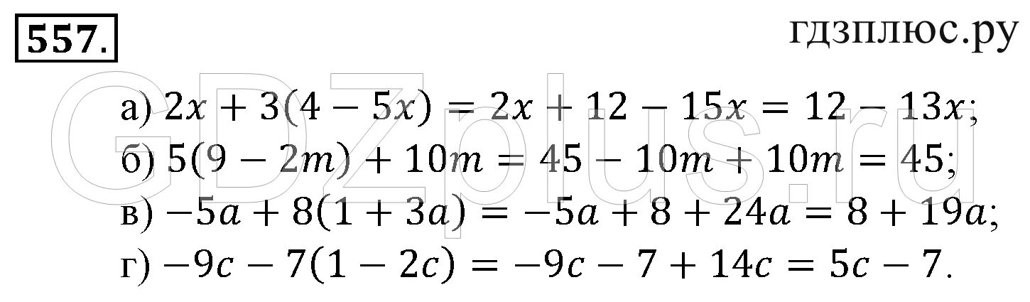
Упростите числовое выражение 4