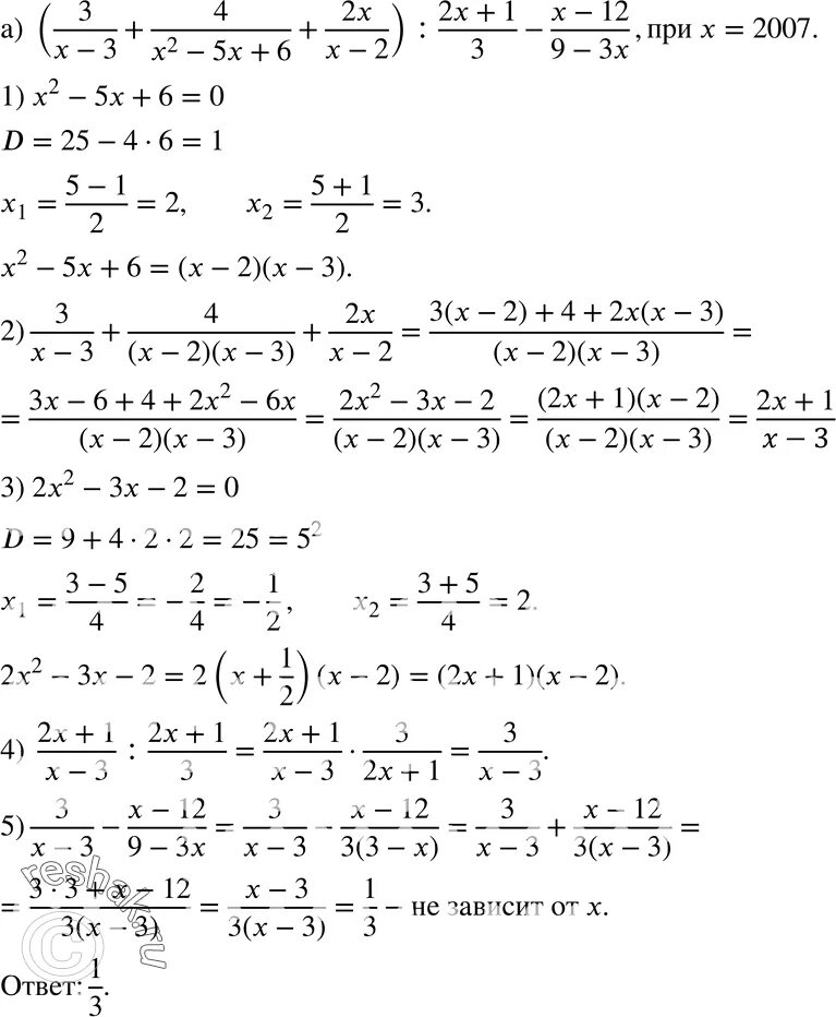
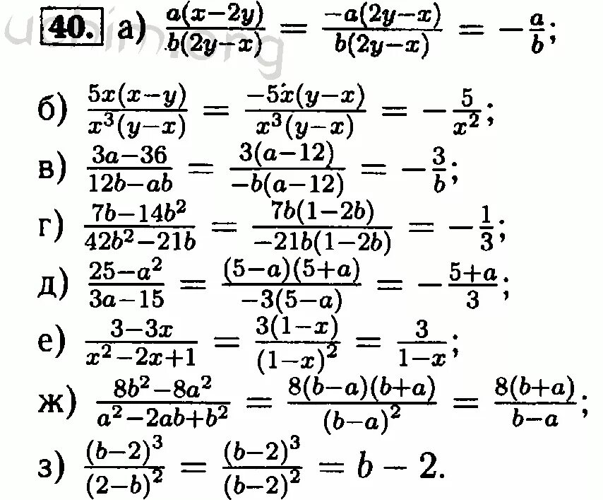
Ulp 8 rk