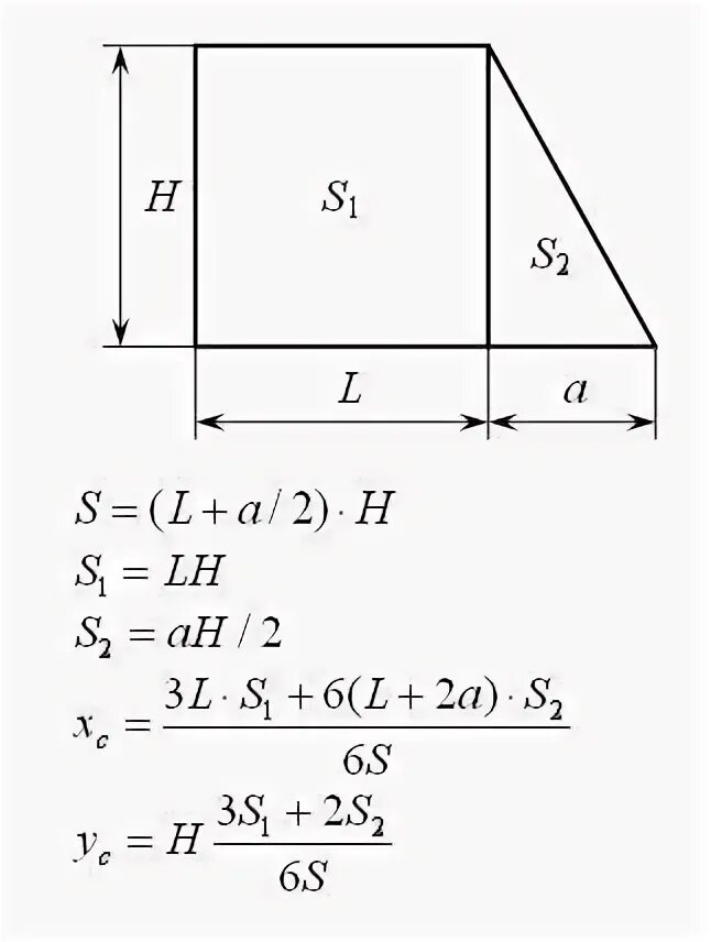
Центр прямоугольной трапеции