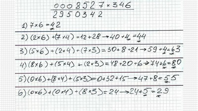
Трахтенберг система быстрого