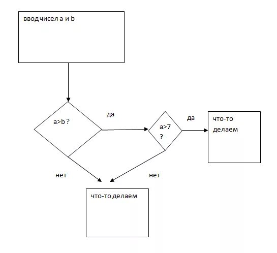
Том 2 цикл 1