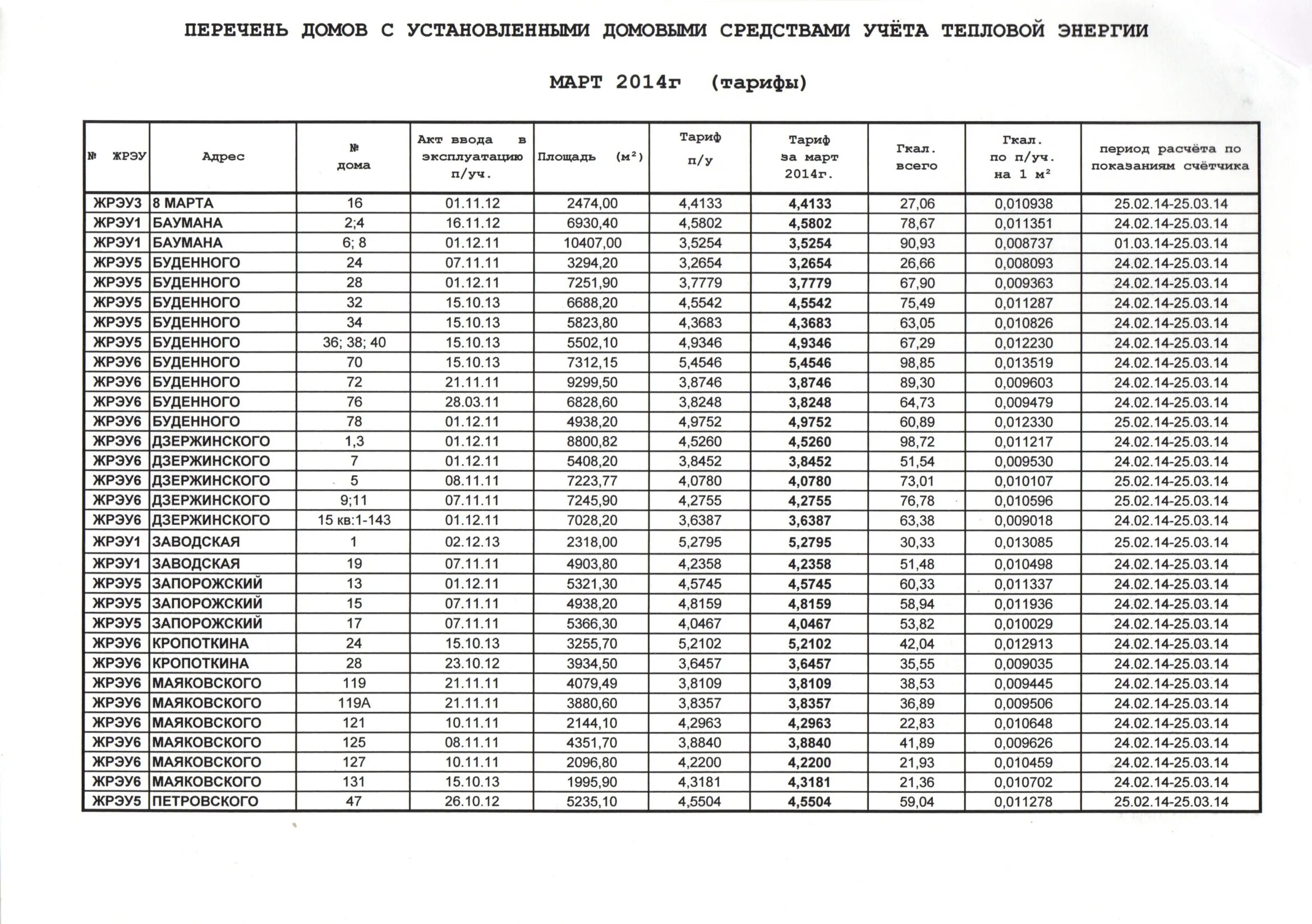
Тарифы на тепловую энергию поставляемую