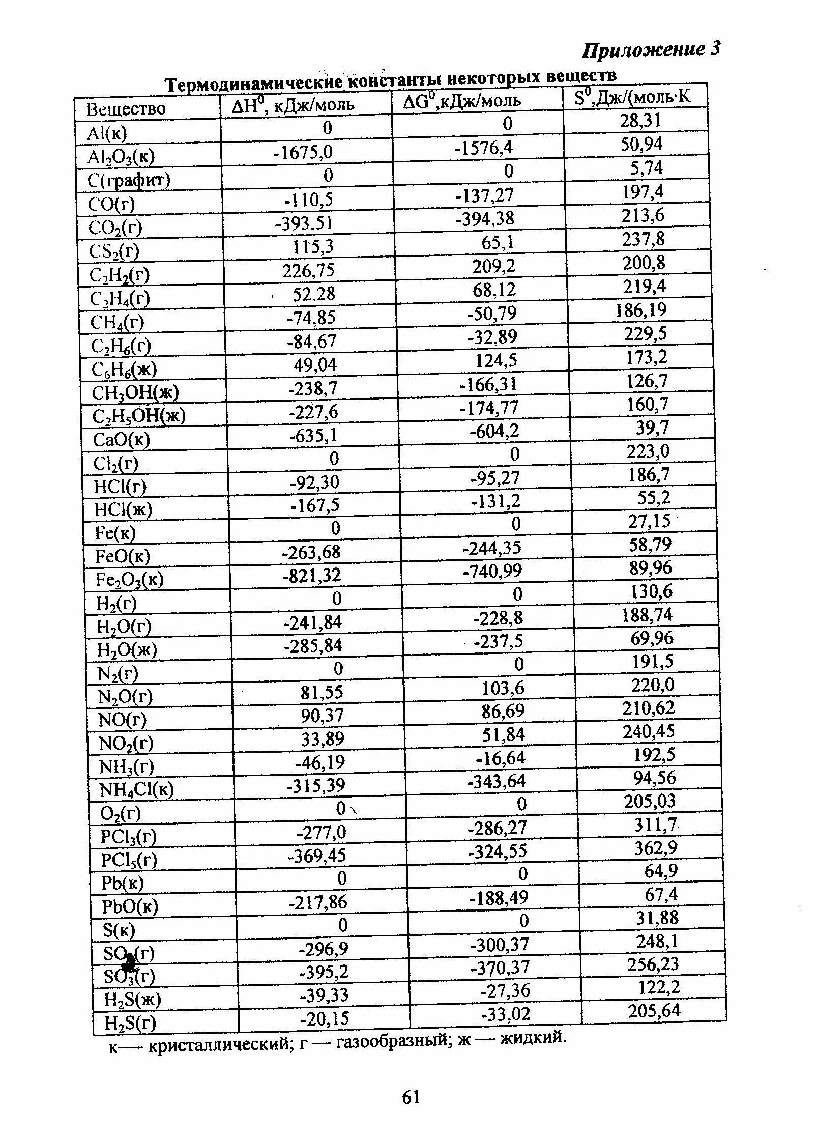
Табличные значения энтальпии