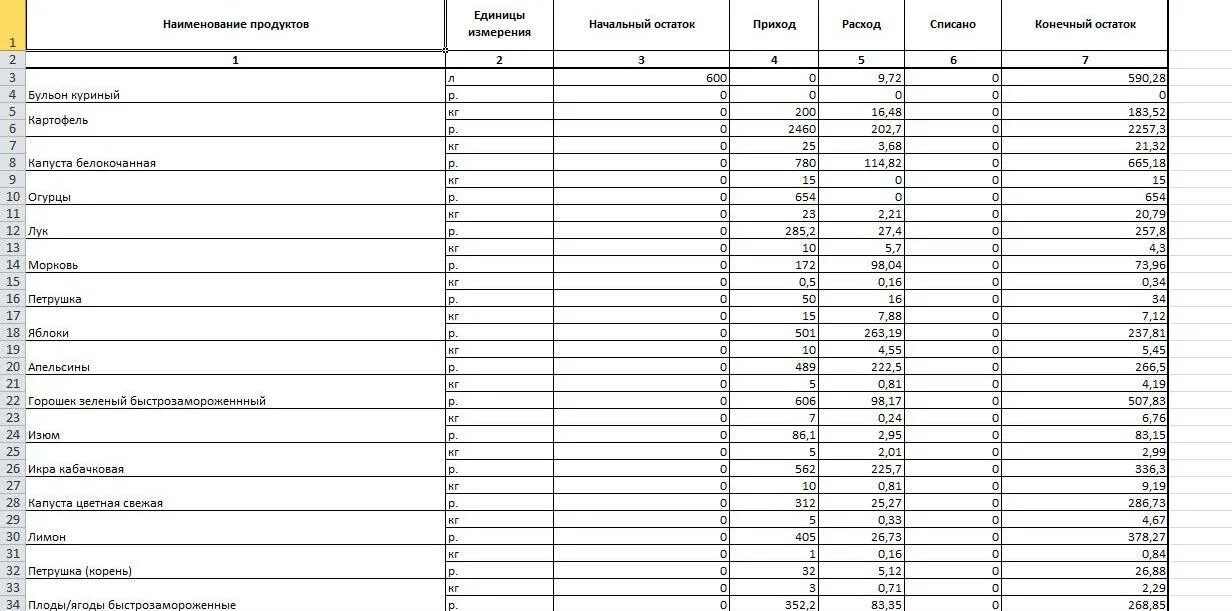
Сырьевая ведомость для предприятий общественного питания