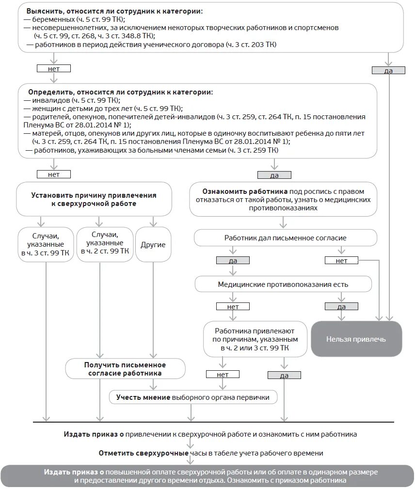
Сверхурочная работа оплачивается в двойном размере