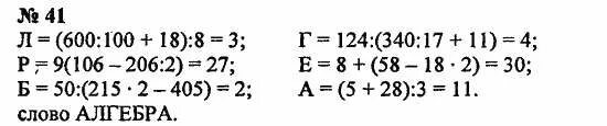
Страница 41 номер 1.212