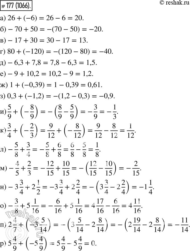
Стр 177 упр 346 6 класс