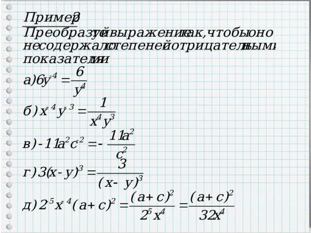
Степень с целым показателем 8 класс видеоурок