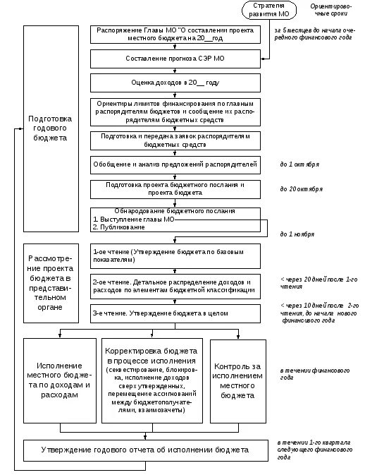
Стадия рассмотрения и утверждения проекта бюджета