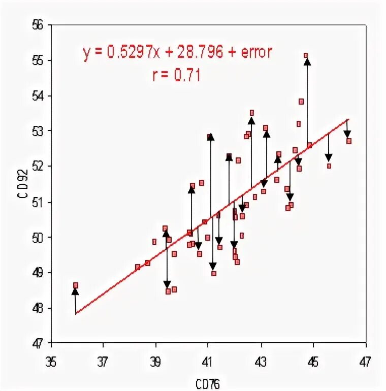
Squared error