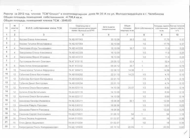
Список собственников дома