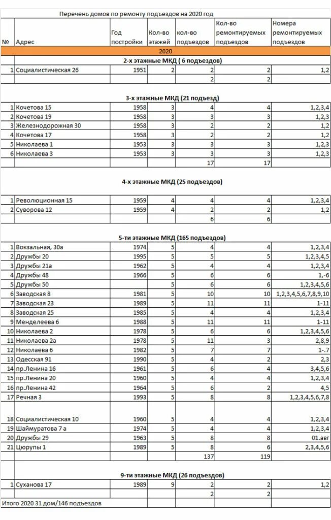
Список подъездов