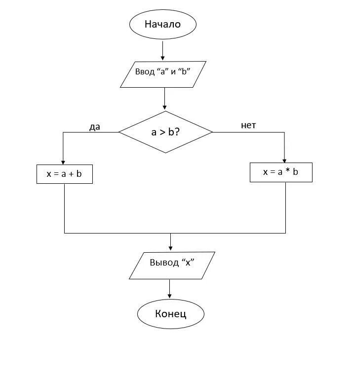
Составить алгоритм вычисления значения выражения