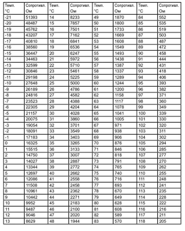
Сопротивление датчика температуры индезит