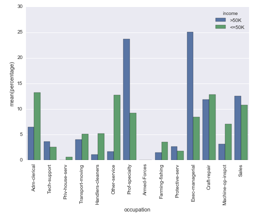
Sns countplot