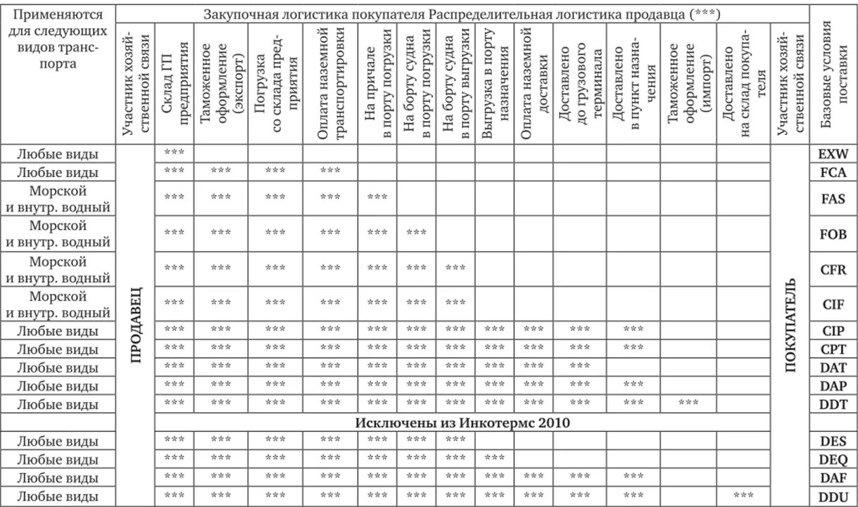
См приложение 4