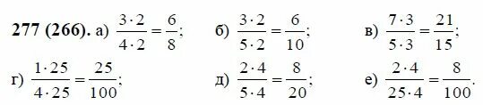
Сколько четырнадцатых долей содержится в 1 7