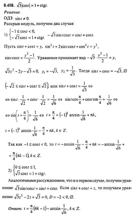
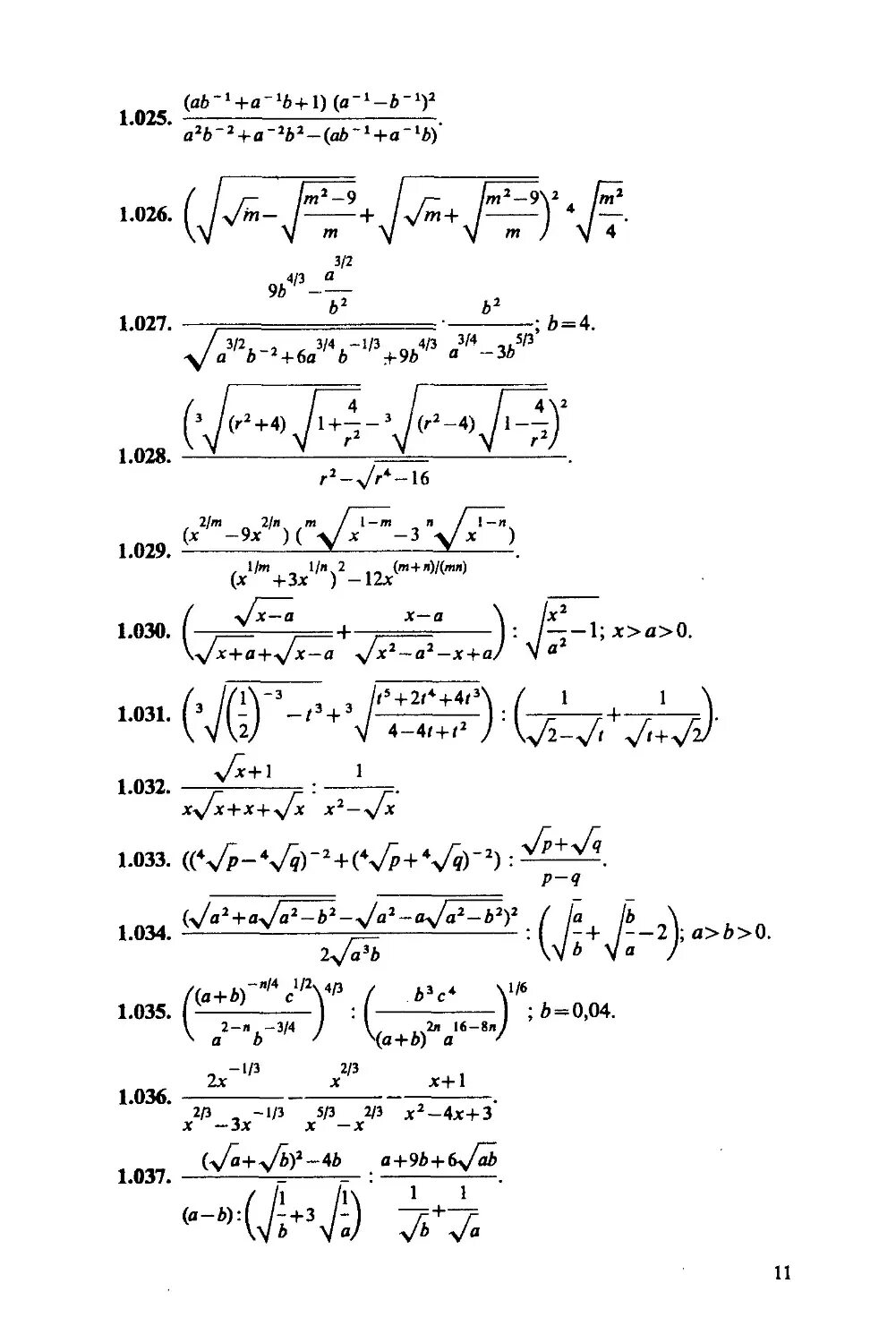
Сканави задач по математике