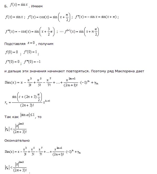
Sinx ряд маклорена