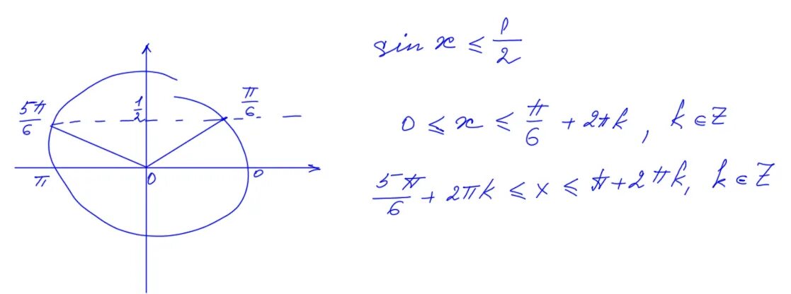
Синус равняется 1 2