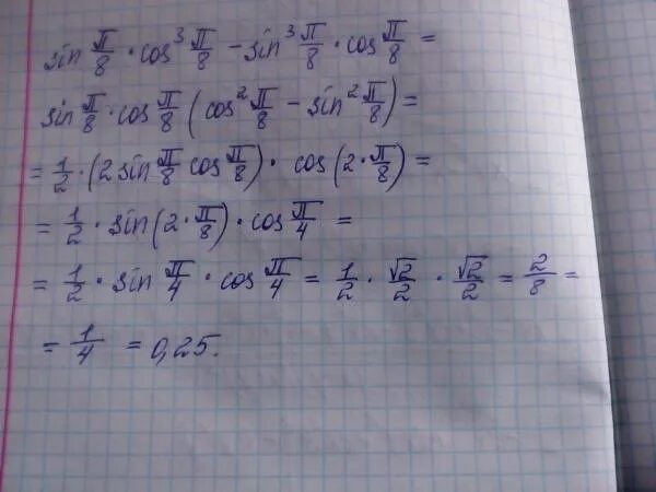
Синус 15 пи