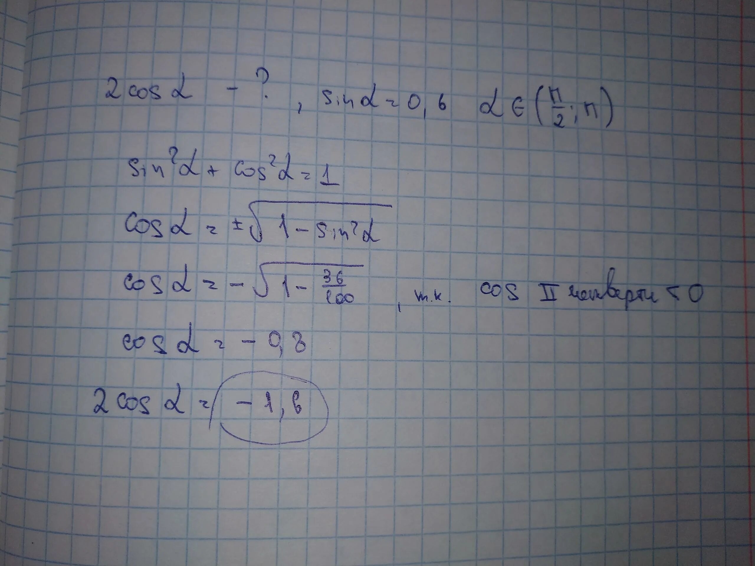
Sina 0.6 найти угол