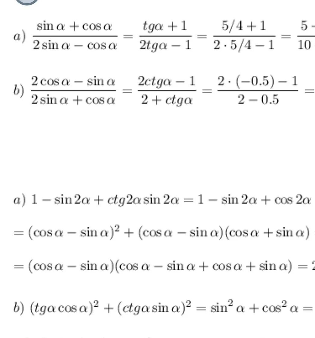
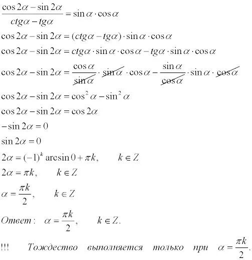
Sin2a cos2a ctg2a упростить