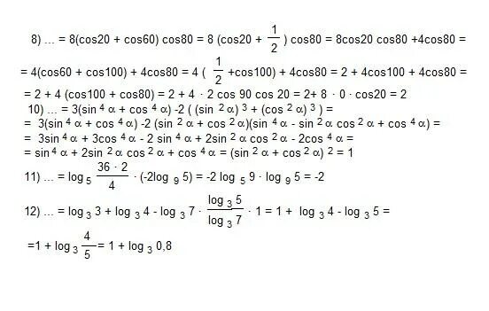
Sin п a 2cos п 2 a