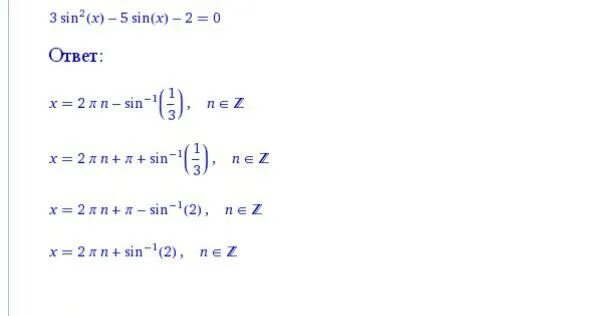
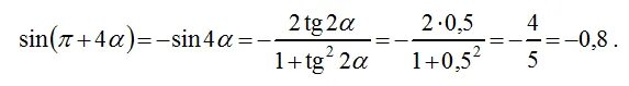
Sin п 3 sin п 4