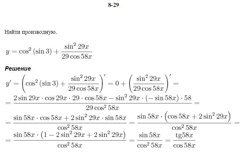
Sin cos 32