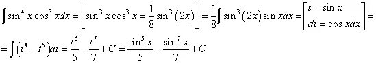
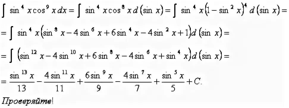
Sin 3x cos 4x