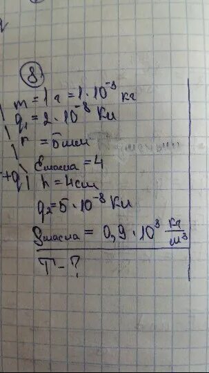
Шарик массой 10 грамм