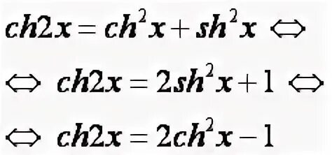
Sh function