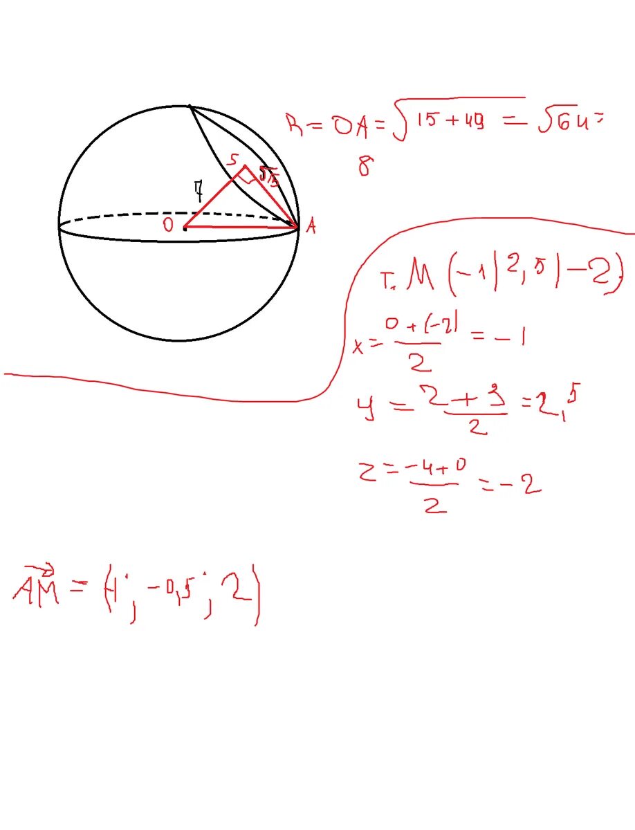
Сечение шара радиуса р