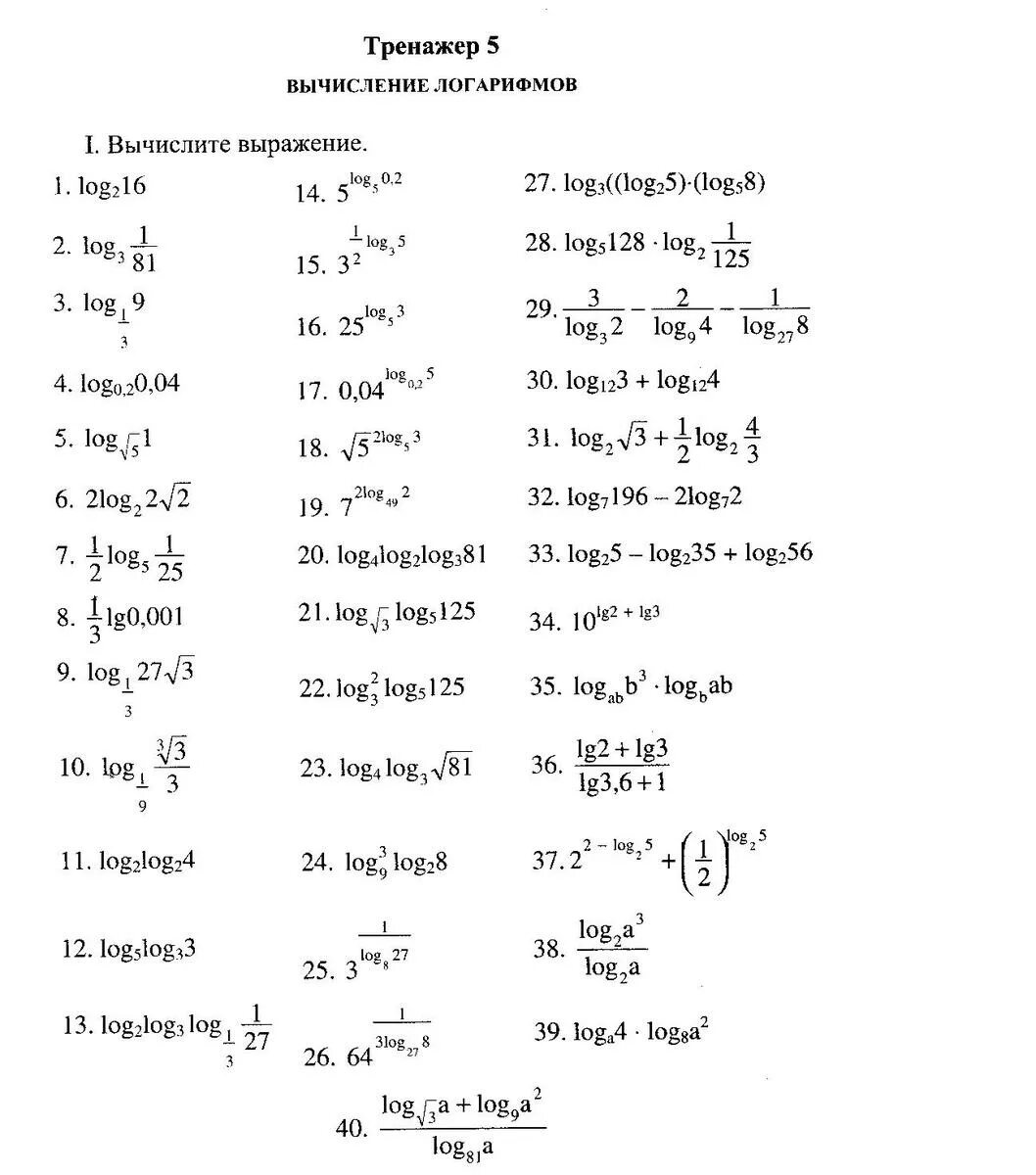
Самостоятельная работа по теме вычисление логарифмов