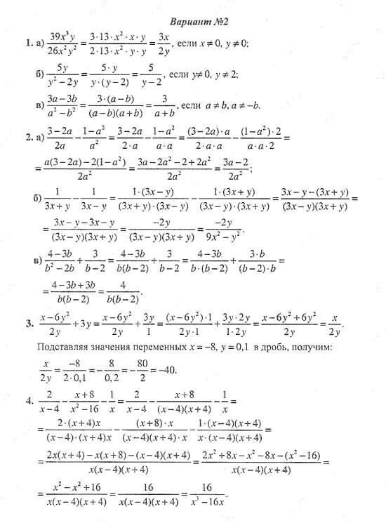
Самостоятельная работа по алгебре 8 класс 15