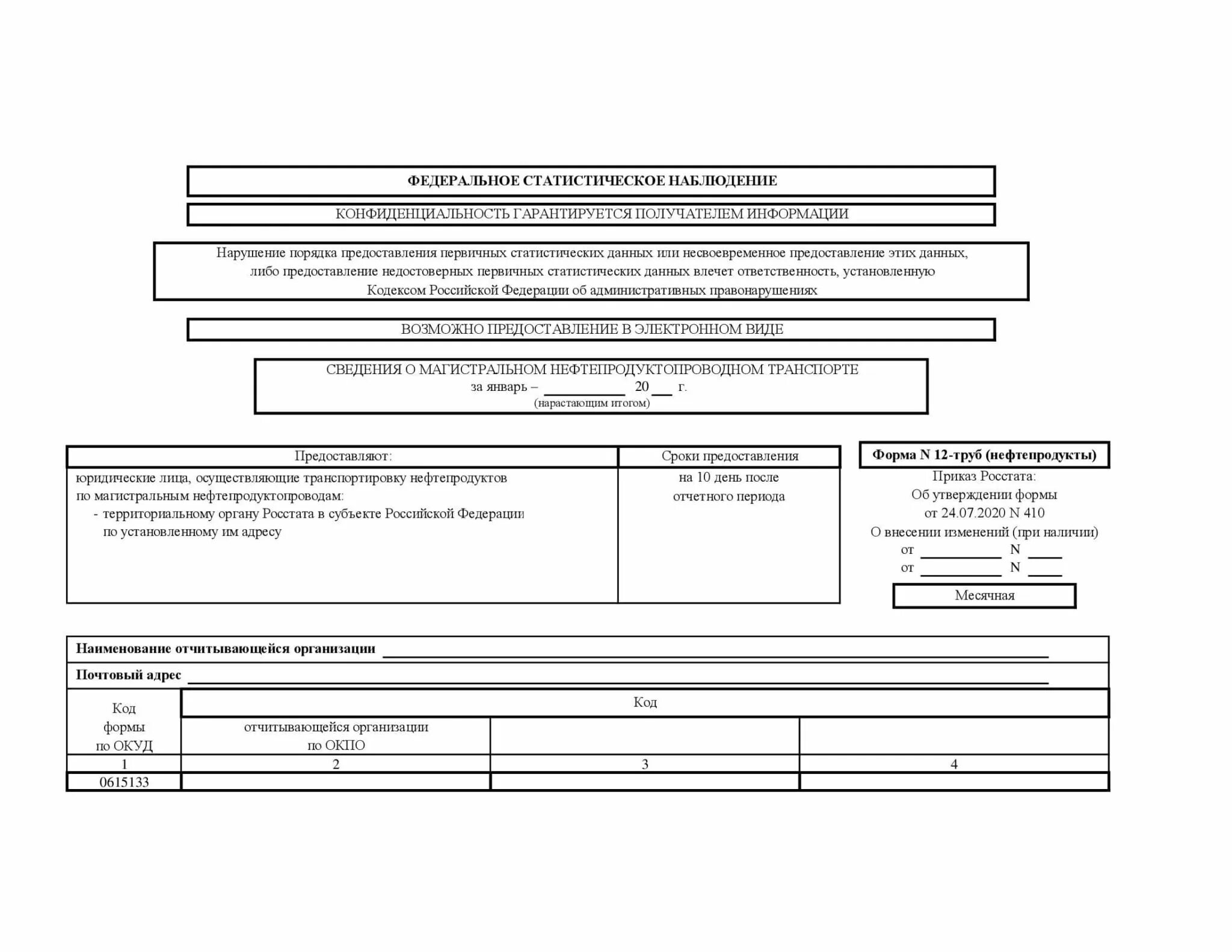
Росстат мп микро