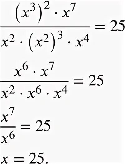
Решу упр 7 класс