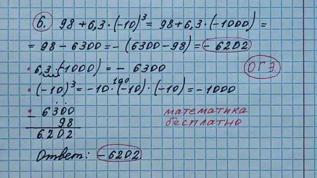
Решу огэ 6 номера