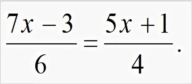
Решите уравнение 1 4x 2 36 0