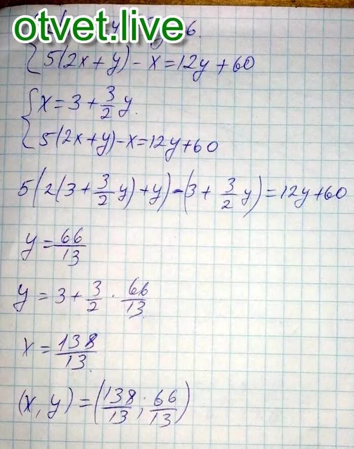
Решите систему 2x y 7