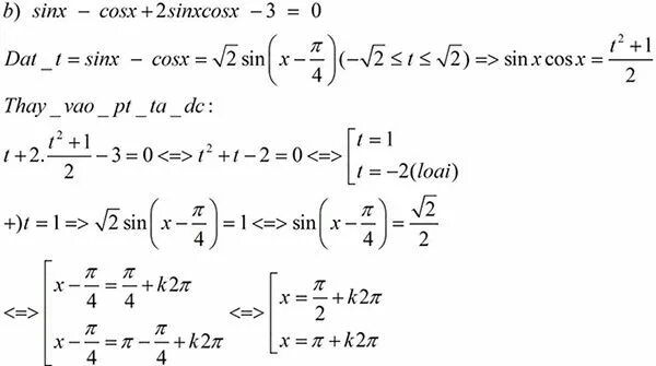
Решить уравнения sinx 1 2