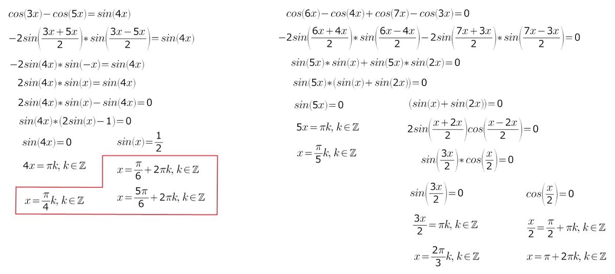
Решить уравнение ctg x 3 0