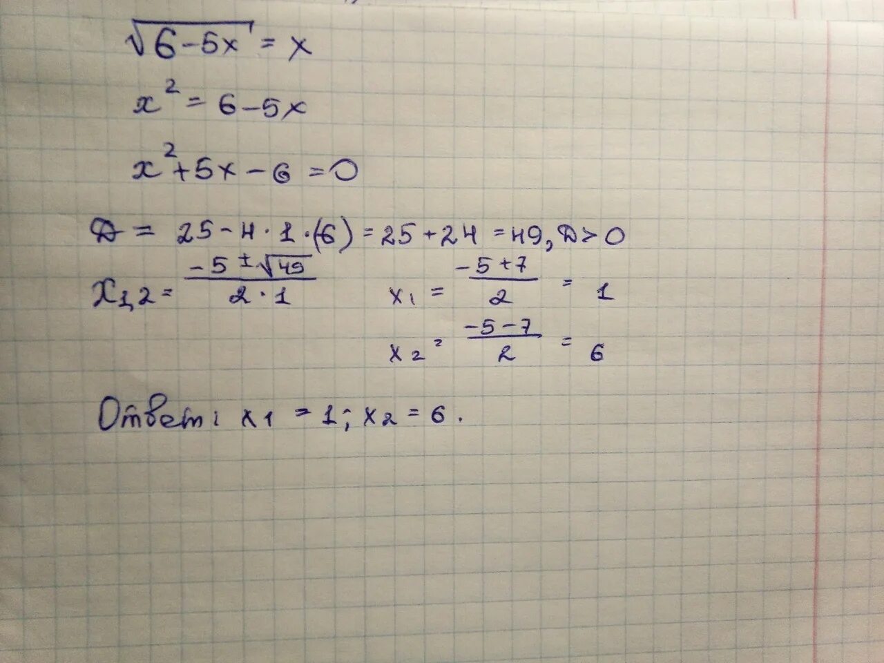
Решить уравнение 6 икс равно 5