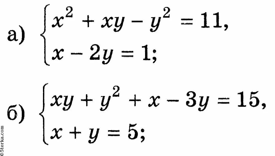
Решить систему сложную